This post covers the Lecture notes and syllabus of Unit 2 Spur Gears and Parallel axis Helical Gears of the subject of Design of Transmission Systems. The syllabus of Unit 2 is given below.
ANNA UNIVERSITY, CHENNAI
REGULATION 2013
DEPARTMENT OF MECHANICAL ENGINEERING
SUBJECT CODE/SUBJECT NAME : ME6601 & DESIGN OF TRANSMISSION SYSTEMS
Here the syllabus of unit 2 of design of transmission systems is listed here.
UNIT II SPUR GEARS AND PARALLEL AXIS HELICAL GEARS
Speed ratios and number of teeth-Force analysis -Tooth stresses - Dynamic effects – Fatigue strength - Factor of safety - Gear materials – Design of straight tooth spur & helical gears based on strength and wear considerations – Pressure angle in the normal and transverse plane- Equivalent number of teeth-forces for helical gears.
Click: DME Unit 1 Question Bank
Click: DME Unit 1 Question Bank
Lecture Notes:
Here we go for the discuss on Gear drives and the classification of the gear drives which are shown in following figures.
Here the Gear materials are listed as follows. This question will be asked for 2 marks questions.
Go to or visit
annaunivstudymaterials.blogspot.com
What is meant by Dynamic Load?
Go to or visit
annaunivstudymaterials.blogspot.com
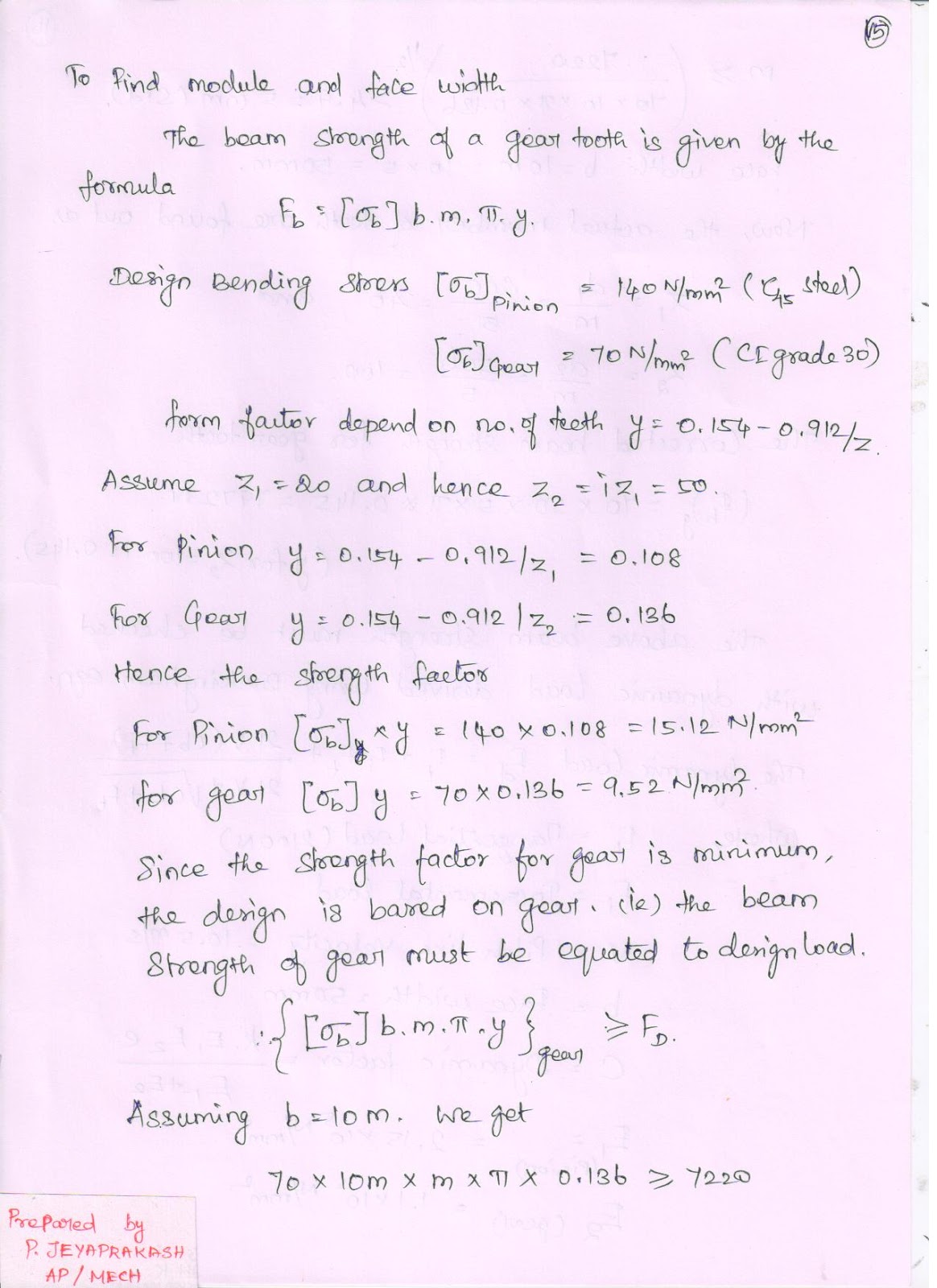
Here the step by step design procedure for the spur gears is given from the following images.
Go to or visit
annaunivstudymaterials.blogspot.com
Search your required study materials on top right side of this page.
Go to or visit
annaunivstudymaterials.blogspot.com
Go to or visit
annaunivstudymaterials.blogspot.com
Go to or visit
annaunivstudymaterials.blogspot.com
Go to or visit
annaunivstudymaterials.blogspot.com
Go to or visit
annaunivstudymaterials.blogspot.com
From here onwards we are discuss about the helical gears and Why it is used and how do it is designed.
Go to or visit
annaunivstudymaterials.blogspot.com
Search your required study materials on top right side of this page.
Go to or visit
annaunivstudymaterials.blogspot.com
Search your required study materials on top right side of this page.
Go to or visit
annaunivstudymaterials.blogspot.com
Go to or visit
annaunivstudymaterials.blogspot.com
Click: DME Unit 5 Question Bank
For all Mechanical Engineering subjects Lecture notes, Question bank, Unit wise 2 marks with answers, Previous years university questions ,etc were uploaded.
For all Mechanical Engineering subjects Lecture notes, Question bank, Unit wise 2 marks with answers, Previous years university questions ,etc were uploaded.
Search your required study materials on top right side of this page.
Go to or visit
annaunivstudymaterials.blogspot.com




























No comments:
Post a Comment